Dimensional Formula Of Capacitance And Magnetic Induction . Lorentz force is defined as the combination of the magnetic and electric force on a point charge. Explain the concepts of a capacitor and its capacitance. The induced current produces magnetic fields which tend to oppose the change in magnetic flux that induces such currents. X = 3 y z 2 , x and z have dimensions of capacitance and magnetic. Unit of capacitance is coulomb per volt or farad (f). Explain the concepts of a capacitor and its capacitance. The concept of magnetic flux. By the end of this section, you will be able to: Dimensional formula of magnetic induction: The dimensional formula for magnetic induction is : Describe how to evaluate the capacitance of a system of conductors. Before we tackle the principle of magnetic induction, we first need to define a quantity which is crucial to understand it quantitatively: Furthermore, the value of capacitance depends on size, shape, relative positions of plate, and the medium between the.
        
        from slidetodoc.com 
     
        
        The concept of magnetic flux. Describe how to evaluate the capacitance of a system of conductors. Furthermore, the value of capacitance depends on size, shape, relative positions of plate, and the medium between the. X = 3 y z 2 , x and z have dimensions of capacitance and magnetic. Dimensional formula of magnetic induction: The dimensional formula for magnetic induction is : Explain the concepts of a capacitor and its capacitance. Unit of capacitance is coulomb per volt or farad (f). Lorentz force is defined as the combination of the magnetic and electric force on a point charge. Explain the concepts of a capacitor and its capacitance.
    
    	
            
	
		 
         
    Topic 11 induction AHL 11 3 Capacitance 
    Dimensional Formula Of Capacitance And Magnetic Induction  X = 3 y z 2 , x and z have dimensions of capacitance and magnetic. Explain the concepts of a capacitor and its capacitance. The dimensional formula for magnetic induction is : Furthermore, the value of capacitance depends on size, shape, relative positions of plate, and the medium between the. X = 3 y z 2 , x and z have dimensions of capacitance and magnetic. By the end of this section, you will be able to: Unit of capacitance is coulomb per volt or farad (f). Before we tackle the principle of magnetic induction, we first need to define a quantity which is crucial to understand it quantitatively: The induced current produces magnetic fields which tend to oppose the change in magnetic flux that induces such currents. Lorentz force is defined as the combination of the magnetic and electric force on a point charge. Explain the concepts of a capacitor and its capacitance. The concept of magnetic flux. Dimensional formula of magnetic induction: Describe how to evaluate the capacitance of a system of conductors.
            
	
		 
         
 
    
        From www.numerade.com 
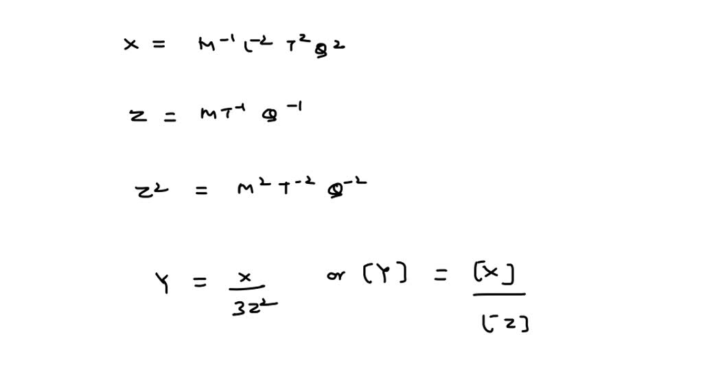
                    SOLVED In the formula X=3YZ^2, X and Z have same dimensions of Dimensional Formula Of Capacitance And Magnetic Induction  The induced current produces magnetic fields which tend to oppose the change in magnetic flux that induces such currents. X = 3 y z 2 , x and z have dimensions of capacitance and magnetic. The concept of magnetic flux. Explain the concepts of a capacitor and its capacitance. The dimensional formula for magnetic induction is : Before we tackle. Dimensional Formula Of Capacitance And Magnetic Induction.
     
    
        From www.numerade.com 
                    In the equation X=3 Y Z^2, X and Z have dimensions of capacitance and Dimensional Formula Of Capacitance And Magnetic Induction  The induced current produces magnetic fields which tend to oppose the change in magnetic flux that induces such currents. Lorentz force is defined as the combination of the magnetic and electric force on a point charge. Unit of capacitance is coulomb per volt or farad (f). Before we tackle the principle of magnetic induction, we first need to define a. Dimensional Formula Of Capacitance And Magnetic Induction.
     
    
        From www.toppr.com 
                    In the formula X = 3YZ^2, X and Z have dimensions of capacitance and Dimensional Formula Of Capacitance And Magnetic Induction  The concept of magnetic flux. Before we tackle the principle of magnetic induction, we first need to define a quantity which is crucial to understand it quantitatively: The induced current produces magnetic fields which tend to oppose the change in magnetic flux that induces such currents. Furthermore, the value of capacitance depends on size, shape, relative positions of plate, and. Dimensional Formula Of Capacitance And Magnetic Induction.
     
    
        From www.toppr.com 
                    In the formula X = 3YZ^2, X and Z have dimensions of capacitance and Dimensional Formula Of Capacitance And Magnetic Induction  The concept of magnetic flux. Explain the concepts of a capacitor and its capacitance. X = 3 y z 2 , x and z have dimensions of capacitance and magnetic. The dimensional formula for magnetic induction is : Explain the concepts of a capacitor and its capacitance. Unit of capacitance is coulomb per volt or farad (f). Dimensional formula of. Dimensional Formula Of Capacitance And Magnetic Induction.
     
    
        From www.youtube.com 
                    In the formula X = 3YZ^2 ,X and Zhave dimensions of capacitance and Dimensional Formula Of Capacitance And Magnetic Induction  Lorentz force is defined as the combination of the magnetic and electric force on a point charge. The induced current produces magnetic fields which tend to oppose the change in magnetic flux that induces such currents. Before we tackle the principle of magnetic induction, we first need to define a quantity which is crucial to understand it quantitatively: Furthermore, the. Dimensional Formula Of Capacitance And Magnetic Induction.
     
    
        From www.toppr.com 
                    In the formula X = 3YZ^2, X and Z have dimensions of capacitance and Dimensional Formula Of Capacitance And Magnetic Induction  The induced current produces magnetic fields which tend to oppose the change in magnetic flux that induces such currents. Explain the concepts of a capacitor and its capacitance. Describe how to evaluate the capacitance of a system of conductors. Lorentz force is defined as the combination of the magnetic and electric force on a point charge. The concept of magnetic. Dimensional Formula Of Capacitance And Magnetic Induction.
     
    
        From www.hierarchystructure.com 
                    stoh lokomotíva drahý induction formula Dva stupne vydesený Dimensional Formula Of Capacitance And Magnetic Induction  Describe how to evaluate the capacitance of a system of conductors. Explain the concepts of a capacitor and its capacitance. Dimensional formula of magnetic induction: By the end of this section, you will be able to: Lorentz force is defined as the combination of the magnetic and electric force on a point charge. The dimensional formula for magnetic induction is. Dimensional Formula Of Capacitance And Magnetic Induction.
     
    
        From fity.club 
                    Induction Dimensional Formula Of Capacitance And Magnetic Induction  X = 3 y z 2 , x and z have dimensions of capacitance and magnetic. Before we tackle the principle of magnetic induction, we first need to define a quantity which is crucial to understand it quantitatively: Furthermore, the value of capacitance depends on size, shape, relative positions of plate, and the medium between the. The dimensional formula for. Dimensional Formula Of Capacitance And Magnetic Induction.
     
    
        From brainly.in 
                    derive the dimensional formula of flux with each steps clearly Dimensional Formula Of Capacitance And Magnetic Induction  Unit of capacitance is coulomb per volt or farad (f). X = 3 y z 2 , x and z have dimensions of capacitance and magnetic. Dimensional formula of magnetic induction: Explain the concepts of a capacitor and its capacitance. Explain the concepts of a capacitor and its capacitance. Furthermore, the value of capacitance depends on size, shape, relative positions. Dimensional Formula Of Capacitance And Magnetic Induction.
     
    
        From discover.hubpages.com 
                    A Level Physics Formula Sheet HubPages Dimensional Formula Of Capacitance And Magnetic Induction  Before we tackle the principle of magnetic induction, we first need to define a quantity which is crucial to understand it quantitatively: Lorentz force is defined as the combination of the magnetic and electric force on a point charge. The dimensional formula for magnetic induction is : Explain the concepts of a capacitor and its capacitance. The concept of magnetic. Dimensional Formula Of Capacitance And Magnetic Induction.
     
    
        From whatsinsight.org 
                    Induction An Overview and Real Life Examples What's Insight Dimensional Formula Of Capacitance And Magnetic Induction  X = 3 y z 2 , x and z have dimensions of capacitance and magnetic. Before we tackle the principle of magnetic induction, we first need to define a quantity which is crucial to understand it quantitatively: The induced current produces magnetic fields which tend to oppose the change in magnetic flux that induces such currents. By the end. Dimensional Formula Of Capacitance And Magnetic Induction.
     
    
        From learnemc.com 
                    LearnEMC Transmission Line Calculator Coaxial Cable Dimensional Formula Of Capacitance And Magnetic Induction  Explain the concepts of a capacitor and its capacitance. Furthermore, the value of capacitance depends on size, shape, relative positions of plate, and the medium between the. By the end of this section, you will be able to: The induced current produces magnetic fields which tend to oppose the change in magnetic flux that induces such currents. Unit of capacitance. Dimensional Formula Of Capacitance And Magnetic Induction.
     
    
        From askfilo.com 
                    The dimensional formula of induction is Filo Dimensional Formula Of Capacitance And Magnetic Induction  The induced current produces magnetic fields which tend to oppose the change in magnetic flux that induces such currents. Explain the concepts of a capacitor and its capacitance. X = 3 y z 2 , x and z have dimensions of capacitance and magnetic. Describe how to evaluate the capacitance of a system of conductors. Dimensional formula of magnetic induction:. Dimensional Formula Of Capacitance And Magnetic Induction.
     
    
        From www.pw.live 
                    Class 12 Chapter Induction Formulas PW Dimensional Formula Of Capacitance And Magnetic Induction  Unit of capacitance is coulomb per volt or farad (f). Explain the concepts of a capacitor and its capacitance. Before we tackle the principle of magnetic induction, we first need to define a quantity which is crucial to understand it quantitatively: Explain the concepts of a capacitor and its capacitance. The induced current produces magnetic fields which tend to oppose. Dimensional Formula Of Capacitance And Magnetic Induction.
     
    
        From www.toppr.com 
                    In the equation X = 2YZ^2 , X and Z are dimensions of capacitance and Dimensional Formula Of Capacitance And Magnetic Induction  Furthermore, the value of capacitance depends on size, shape, relative positions of plate, and the medium between the. Before we tackle the principle of magnetic induction, we first need to define a quantity which is crucial to understand it quantitatively: The dimensional formula for magnetic induction is : Dimensional formula of magnetic induction: By the end of this section, you. Dimensional Formula Of Capacitance And Magnetic Induction.
     
    
        From www.toppr.com 
                    In the equation X = 2YZ^2 , X and Z are dimensions of capacitance and Dimensional Formula Of Capacitance And Magnetic Induction  Before we tackle the principle of magnetic induction, we first need to define a quantity which is crucial to understand it quantitatively: Explain the concepts of a capacitor and its capacitance. Lorentz force is defined as the combination of the magnetic and electric force on a point charge. Dimensional formula of magnetic induction: Unit of capacitance is coulomb per volt. Dimensional Formula Of Capacitance And Magnetic Induction.
     
    
        From www.toppr.com 
                    In the formula, a=3bc^2 'a' and 'c' have dimensions of electric Dimensional Formula Of Capacitance And Magnetic Induction  Describe how to evaluate the capacitance of a system of conductors. Furthermore, the value of capacitance depends on size, shape, relative positions of plate, and the medium between the. Explain the concepts of a capacitor and its capacitance. Lorentz force is defined as the combination of the magnetic and electric force on a point charge. The induced current produces magnetic. Dimensional Formula Of Capacitance And Magnetic Induction.
     
    
        From www.toppr.com 
                    In the equation X = 3YZ, X and Z are dimensions of capacitance and Dimensional Formula Of Capacitance And Magnetic Induction  The concept of magnetic flux. Furthermore, the value of capacitance depends on size, shape, relative positions of plate, and the medium between the. Explain the concepts of a capacitor and its capacitance. Lorentz force is defined as the combination of the magnetic and electric force on a point charge. Dimensional formula of magnetic induction: Describe how to evaluate the capacitance. Dimensional Formula Of Capacitance And Magnetic Induction.